용인세브란스병원 정형외과 박섭리 교수팀, 양방향 내시경-기존 수술법 간 치료 효과 비교 연구
[메디컬프라임 백현우 기자] 연세대학교 의과대학 용인세브란스병원(병원장 김은경) 정형외과 박섭리 교수, 은동찬 임상강사 연구팀이 다분절 요추 척추관 협착증에 대한 척추 내시경 수술법 이용 최소 침습적 후방감압술이 기존의 수술법과 비교해 우수한 치료 효과를 보인다는 사실을 밝혔다.
척추관 협착증 치료 시 기존에 시행하던 후방감압술은 피부 절개 부위가 커 수술 후 통증과 불편감이 오래가거나 추후 유합술을 시행해야 하는 경우가 많이 발생했고, 그 대안으로 미세 현미경이나 척추 내시경을 이용한 최소 침습 수술법들이 제안됐다.
다만, 그간 단분절 척추관 협착증에 대한 최소 침습적 후방감압술의 치료 우수성은 입증된 반면 다분절 척추관 협착증에서의 연구는 충분하지 않았다.
이에 연구팀은 ‘양방향 내시경 수술법(BESS)을 이용한 후방감압술’이 기존에 시행되던 ‘후관절 보존 편측 척추후궁절제술 후 양측 신경감압술(ULBD)’과 비교해 치료 효과 측면에서 어느 정도의 차이가 있는지 확인했다.
연구를 위해 2019년 3월부터 2021년 12월까지 용인세브란스병원 척추정형외과에서 2분절 이상 최소 침습 수술법으로 후방감압술을 시행 받은 다분절 척추관 협착증 환자를 분석했다.
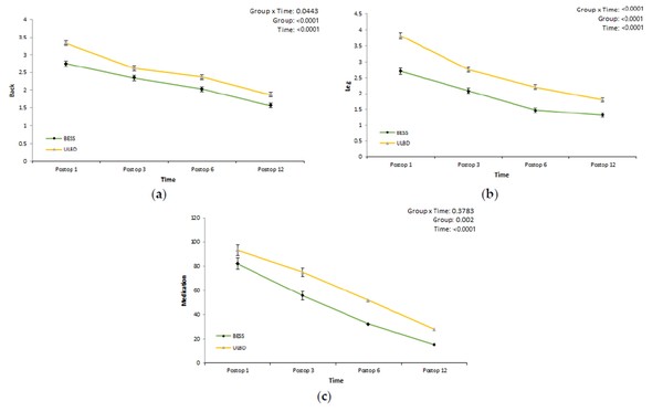
연구팀은 ULBD를 시행 받은 환자 48명, BESS를 시행 받은 환자 47명에 대해 평균 17개월의 관찰 기간 요통, 방사통, 약물(프레가발린) 사용량의 변화와 수술 전후 자기공명영상(MRI) 검사를 통한 신경 통로의 확장 정도를 확인했다.
연구 결과, BESS 시행 그룹이 ULBD 시행 그룹과 비교해 재원 기간이 유의미하게 짧았고 신경통로 확장 및 후관절 보존 정도에서도 우수한 결과를 보였다.
또한, BESS 시행 그룹에서 요통과 방사통이 더 호전되는 모습을 나타냈으며, 약물 사용량도 줄었다.
이번 연구를 통해 다분절 척추관 협착증 환자에게 양방향 내시경 수술법을 통한 후방감압술 시행 시 기존의 수술법보다 우수한 치료 효과를 보일 수 있다는 것을 입증함에 따라 보존적 치료에 효과가 없어 수술적 치료를 결정하는 환자에게 많은 도움이 될 것으로 기대된다.
박섭리 교수는 “앞으로 양방향 내시경 수술법을 통한 척추 수술로 기존 조직을 최대한 보존하면서도 충분한 효과를 볼 수 있는 방법을 연구하고, 장기적으로도 효과가 있는지 지속해서 추적, 관찰할 예정”이라고 밝혔다.
관련기사
- 서울성모병원, 손보협회와 저소득층 환자 의료비 지원 업무협약
- [서울대병원] 19대 김영태 신임 병원장 취임, “세계 최고의 미래 병원으로 도약”
- 서울시동남보조기기센터, 월드비전과 함께하는 ‘저소득 희귀질환아동을 위한 보조기기 지원사업’ 실시
- 국제아로마테라피임상연구센터, ITEC국제아로마테라피스트 자격 취득 특별 교육과정 운영
- 투석혈관이 받는 압력을 낮출 수 있는 재료와 구조 설계...협착증 5배 ↓, 혈류량은 2.5배 ↑
- 항암제 투여 후 테노포비르(TDF) 성분 사용해 B형간염 예방
- 나트륨-칼륨 섭취 비율 낮아질수록 만성신부전 발생 위험 감소
- 용인세브란스병원, 로봇수술 1,000례 달성
- 극심한 삼차신경통, MRI 검사로 수술 효과 확인
